阜阳市中考录取批次详解
第一批次:省示范高中招生
这是录取最早、分数线最高的批次,主要面向市内的省级示范性普通高中。

- 招生类型:
- 统招生:面向全市(或县内)所有符合条件的考生,根据中考分数从高到低录取。
- 分配生(也叫“指标到校”):将省示范高中的一部分招生计划,直接分配到辖区内的初中学校,这旨在促进教育均衡,让更多普通初中的学生有机会进入优质高中。太和县一中的分配生名额会下达到太和县内的各个初中。
- 包含学校(以阜阳市为例):
- 阜阳市第一中学
- 阜阳市第三中学
- 界首市第一中学
- 太和县第一中学 (这是太和县最顶尖的高中,属于此批次)
- 特点:竞争最激烈,分数线最高,考生通常只能填报此批次中的一所省示范高中。
第二批次:市示范高中及一般普通高中招生
此批次包含市级示范性普通高中和办学质量较好的其他普通高中。
- 招生类型:主要为统招生,部分学校可能有自主招生(如特长生)计划。
- 包含学校(以阜阳市及太和县为例):
- 阜阳市第二中学
- 阜阳市第五中学
- 太和县第二中学
- 太和县第三中学
- 以及其他县区的市示范高中。
- 特点:分数线低于第一批次,是中考成绩中上游考生的主要选择。
第三批次:五年制高职(“3+2”)招生
这个批次比较特殊,它录取的是初中起点的五年制高等职业教育学生。
- 学制:3年中等职业教育 + 2年高等职业教育,毕业后获得大专文凭。
- 招生院校:通常是省内外的高职院校与中职学校联合办学。
- 特点:这是一个“中职+大专”的贯通培养模式,适合希望早点掌握一门技能并最终获得大专学历的学生,录取分数线通常低于普通高中。
第四批次:普通中专、职业高中、技工学校招生
这是录取的最后一批次,面向各类中等职业学校。
- 招生学校:
- 普通中专:国家级或省级重点中专。
- 职业高中(职高):由地方教育部门主管的职业学校。
- 技工学校:由人力资源和社会保障部门主管,侧重技能培养。
- 特点:入学门槛相对较低,更注重专业技能的培训,大部分此类学校实行注册入学,只要达到基本的录取要求,通常都能被录取。
总结与温馨提示
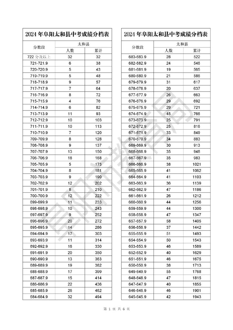
- 太和县的核心高中:对于太和县考生来说,最重要的目标是第一批次的太和县第一中学,能否被太和一中录取,是衡量中考成绩的重要标准。
- 批次顺序:录取是严格按照 第一批 -> 第二批 -> 第三批 -> 第四批 的顺序进行的,一旦考生被前面的批次录取,后面的批次将不再参与投档。
- 志愿填报:考生需要在规定时间内,在市中招平台上填报志愿,每个批次可以填报的学校数量有具体规定(第一批次可以填报1-2所学校)。
- 以官方为准:每年的招生政策和批次可能会有微调,最准确的信息请务必以阜阳市教育局或太和县教育局当年发布的官方《中考招生工作意见》和《招生计划》为准。
建议:您可以关注“阜阳市教育局”官网或“太和教育”等官方微信公众号,获取最新、最权威的中考招生信息。


